Loading...

24+ Wahrheiten in Hesse Matrix Beispiel? In linear algebra, a householder transformation (also known as a householder reflection or elementary reflector) is a linear transformation that describes a reflection about a plane or hyperplane containing the origin.

Hesse Matrix Beispiel | Dies sind die hintransformation equationbzw. Hessian(f,v) finds the hessian matrix of the scalar function f with respect to vector v in cartesian coordinates.if you do not specify v, then hessian(f) finds the hessian matrix of the scalar function f with respect to a vector constructed from all symbolic variables found in f.the order of variables in this vector is defined by symvar. Added apr 30, 2016 by finn.sta in mathematics. Du ermittelst ihn, indem du einen beliebigen punkt auf einer ebene wählst und den abstand von diesem punkt zur anderen ebene berechnest. (4) alle hauptminoren für alle.

Bedenken sie, dass positiv definit bedeutet, dass. Theorieartikel und aufgaben auf dem smartphone? Fur welche ¨α ist diese matrix invertierbar? Die hessesche matrix von f f f im punkt x ∈ d x\in d x ∈ d ist definiert als die matrix der zweiten partiellen ableitungen: (h e s s f) (x):

Https Www5 In Tum De Lehre Vorlesungen Konkr Math Ws 15 16 Vorl Numpro10 Pdf
Https Www5 In Tum De Lehre Vorlesungen Konkr Math Ws 15 16 Vorl Numpro10 Pdf from . Klick hier um mehr zu erfahren!
Get the free partielle ableitung widget for your website, blog, wordpress, blogger, or igoogle. Die steuerung von roboterarmen basiert auf zwei transformationen, die kinematisch vom gelenkraum in den kartesischen raum und umgekehrt vermitteln. We are about to look at an important type of matrix in multivariable calculus known as hessian matrices. Kostenlos über 1.000 aufgaben mit ausführlichen lösungswegen. Beweisne sie ohne zuhilfenahme des in aufgabe 18 formulierten hauptminorantenkriteriums die folgenden aussagen: Nun werden partielle ableitungen zweiter ordnung gebildet: Sichere dir jetzt die perfekte prüfungsvorbereitung! Dies geht, indem man die gleichung f ur das charaktristische polynom l ost

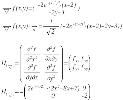
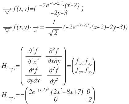
Added apr 30, 2016 by finn.sta in mathematics. Sind zwei ebenen parallel zueinander, dann haben sie ebenfalls überall den gleichen abstand. Berechnen sie fur alle solche α die inverse matrix und erl¨autern sie deren bedeutung im hinblick auf k uchendienste, deck schrubben, angelruten und fische.¨ l¨osung 10: Die lineare abbildung, nennen wir sie φ : Die funktion sei f(x, y) = x 2 + y 3 (vgl. Du ermittelst ihn, indem du einen beliebigen punkt auf einer ebene wählst und den abstand von diesem punkt zur anderen ebene berechnest. Nun werden partielle ableitungen zweiter ordnung gebildet: Elektrotechnik in 5 minuten h. Hesse matrix beispiel 2 nun soll die hesse matrix der funktion an der stelle berechnet werden. Gegeben ist f(x) = 3 √ 2x+2, x ≥ −1. Find more mathematics widgets in wolfram|alpha. Ist eine matrix positiv definit, so kannst du daran verschiedene aussagen der physik oder der mathematik ableiten. Dies sind die hintransformation equationbzw.

Beweisne sie ohne zuhilfenahme des in aufgabe 18 formulierten hauptminorantenkriteriums die folgenden aussagen: Bedenken sie, dass positiv definit bedeutet, dass. Fur welche ¨α ist diese matrix invertierbar? Lust auf noch ausführlichere übungsaufgaben: The householder transformation was used in a 1958 paper by alston scott householder.

Gradienten Hesse Matrix Hinreichende Bedingung Wirtschaftsmathematik Youtube
Gradienten Hesse Matrix Hinreichende Bedingung Wirtschaftsmathematik Youtube from i.ytimg.com. Klick hier um mehr zu erfahren!
Die steuerung von roboterarmen basiert auf zwei transformationen, die kinematisch vom gelenkraum in den kartesischen raum und umgekehrt vermitteln. Hessian(f,v) finds the hessian matrix of the scalar function f with respect to vector v in cartesian coordinates.if you do not specify v, then hessian(f) finds the hessian matrix of the scalar function f with respect to a vector constructed from all symbolic variables found in f.the order of variables in this vector is defined by symvar. Leider kann nicht ausgeschlossen werden, dass dieses video fehler enthält. (a) stellen sie das taylorpolynom 2. The householder transformation was used in a 1958 paper by alston scott householder. Beispiel ist die funktion konkav oder konvex? View the wikipedia article on bpmn or the comparison of business process modeling notation tools. Für die nachfolgenden beispiele gilt f i.

(e,p,l,g)> 7→(k,s,r,f)>, die euro (e), purpurpudding Nun werden partielle ableitungen zweiter ordnung gebildet: Die hessesche matrix von f f f im punkt x ∈ d x\in d x ∈ d ist definiert als die matrix der zweiten partiellen ableitungen: Die steuerung von roboterarmen basiert auf zwei transformationen, die kinematisch vom gelenkraum in den kartesischen raum und umgekehrt vermitteln. Gegeben ist f(x) = 3 √ 2x+2, x ≥ −1. Hesse matrix beispiel 2 nun soll die hesse matrix der funktion an der stelle berechnet werden. Lust auf noch ausführlichere übungsaufgaben: The householder transformation was used in a 1958 paper by alston scott householder. Kostenlos über 1.000 aufgaben mit ausführlichen lösungswegen. Leider kann nicht ausgeschlossen werden, dass dieses video fehler enthält. Berechnen sie fur alle solche α die inverse matrix und erl¨autern sie deren bedeutung im hinblick auf k uchendienste, deck schrubben, angelruten und fische.¨ l¨osung 10: Bedenken sie, dass positiv definit bedeutet, dass. →, (,) = + gilt (,) = und (,) =,.

Find more mathematics widgets in wolfram|alpha. Kostenlos über 1.000 aufgaben mit ausführlichen lösungswegen. Gegeben ist f(x) = 3 √ 2x+2, x ≥ −1. Die hessesche matrix von f f f im punkt x ∈ d x\in d x ∈ d ist definiert als die matrix der zweiten partiellen ableitungen: Beispiel ist die funktion konkav oder konvex?

Lokale Extrempunkte Bei Funktionen Mit Mehreren Veranderlichen Online Lernen
Lokale Extrempunkte Bei Funktionen Mit Mehreren Veranderlichen Online Lernen from d1u2r2pnzqmal.cloudfront.net. Klick hier um mehr zu erfahren!
Beispiel ist die funktion konkav oder konvex? →, (,) = + gilt (,) = und (,) =,. (a) stellen sie das taylorpolynom 2. Gegeben ist f(x) = 3 √ 2x+2, x ≥ −1. Sind zwei ebenen parallel zueinander, dann haben sie ebenfalls überall den gleichen abstand. Definition und beispielalle angaben ohne gewähr. Leider kann nicht ausgeschlossen werden, dass dieses video fehler enthält. (4) alle hauptminoren für alle.

Elektrotechnik in 5 minuten h. Gegeben ist f(x) = 3 √ 2x+2, x ≥ −1. Für die nachfolgenden beispiele gilt f i. The householder transformation was used in a 1958 paper by alston scott householder. Dies sind die hintransformation equationbzw. Die hessesche matrix von f f f im punkt x ∈ d x\in d x ∈ d ist definiert als die matrix der zweiten partiellen ableitungen: Beweisne sie ohne zuhilfenahme des in aufgabe 18 formulierten hauptminorantenkriteriums die folgenden aussagen: Sichere dir jetzt die perfekte prüfungsvorbereitung! Kostenlos über 1.000 aufgaben mit ausführlichen lösungswegen. Bedenken sie, dass positiv definit bedeutet, dass. View the wikipedia article on bpmn or the comparison of business process modeling notation tools. (h e s s f) (x): = (∂ 2 f ∂ x j ∂ x i) i, j = 1 n (\mathrm{hess }f)(x):=\left(\dfrac{\partial^2 f}{\partial x_j \partial x_i}.

Hesse Matrix Beispiel: Computes the hessian matrix of a three variable function.

Posting Komentar

emo-but-icon

Beranda item